Lompat ke konten Lompat ke sidebar Lompat ke footer
close

Derivate Partiale De Ordin 1

Derivate Partiale De Ordin 1

(redirecționat de la derivate parțiale). Derivatele part¸iale de ordinul al doilea sunt date de.

Iata cateva CV-uri de cuvinte cheie pentru a va ajuta sa gasiti cautarea, proprietarul drepturilor de autor este proprietarul original, acest blog nu detine drepturile de autor ale acestei imagini sau postari, dar acest blog rezuma o selectie de cuvinte cheie pe care le cautati din unele bloguri de incredere si bine sper ca acest lucru te va ajuta foarte mult

Matematici aplicate economie derivate part¸iale. Derivatele part¸iale de ordinul al doilea sunt date de. Universitatea politehnica din timisoara facultatea.ele de calculatoare ecuatiile fizicii matematice semigrupuri de operatori liniari ecuatii cu derivate partiale pe varietati.

Derivate Derivata Unei Functii Intr Un Punct Formulele Derivatelor Functiilor Elementare Functii Derivabile Videomeditatii
vizitati articolul complet aici : https://sites.google.com/site/videomeditatii/clase-liceale-9-12/clasa-a-11-a-materii-de-studiu/programa-scolara-pentru-matematica-clasa-a-xi-a/functii-derivabile-formulele-derivatelor-derivata-unei-functii-intr-un-punct
Universitatea politehnica din timisoara facultatea.ele de calculatoare ecuatiile fizicii matematice semigrupuri de operatori liniari ecuatii cu derivate partiale pe varietati. Matematici aplicate economie derivate part¸iale. Probleme de limită pentru ecuaţii cu derivate parţiale von:

Ecuatii cu derivate partiale de ordinul ii liniare ~i de tip eliptic.

8 ecuatii cu derivate partiale de ordinul 2. Derivata unei funcții de mai multe variabile în raport cu una dintre ele, celelalte fiind considerate constante. Matematici aplicate economie derivate part¸iale.

Derivatele part¸iale de ordinul al doilea sunt date de. X(t)=∫1/(t2+1) dt care e daca nu ma insel x(t) = arctan(t) +c. Probleme de limită pentru ecuaţii cu derivate parţiale von:

Ecuație Cu Derivate Parțiale Math Wiki Fandom
vizitati articolul complet aici : https://math.wikia.org/ro/wiki/Ecua%C8%9Bie_cu_derivate_par%C8%9Biale
∂y ∂x în acest caz soluţia ecuaţiei va fi dată implicit de u(x, y) = c, c = constant, unde x y u(x, y) = ∫ p( t , y0 )dt + ∫ q( x , t )dt , x0 y0 cu m(x0, y0) ∈ d convenabil ales. A doua e o ecuatie dif de ordinul 1 cu variabile separabile. Conceptele de derivată de ordin superior n, cu n număr natural și mai mare sau egal cu 2 și de derivată de ordinul al doilea sunt însoțite de exemple.

A doua e o ecuatie dif de ordinul 1 cu variabile separabile.

8 ecuatii cu derivate partiale de ordinul 2. Teorema de existen¸ta˘ s¸i unicitate ecua¸tii diferen¸tiale de ordinul ˆıntaˆ i integrabile prin cuadraturi. Part of a series of articles about.

Universitatea politehnica din timisoara facultatea.ele de calculatoare ecuatiile fizicii matematice semigrupuri de operatori liniari ecuatii cu derivate partiale pe varietati. Derivate partiale de ordinul 1 ma poate ajuta si pe mine cineva cu acest derivat va rog. Asupra densităţii totale şi parţiale a amestecurilor binare von:

Referat Ecuatii Diferentiale Cu Derivate Partiale De Ordinul Intai 288745 Graduo
vizitati articolul complet aici : https://graduo.ro/referate/matematica/ecuatii-diferentiale-cu-derivate-partiale-de-ordinul-intai-288745
Conceptele de derivată de ordin superior n, cu n număr natural și mai mare sau egal cu 2 și de derivată de ordinul al doilea sunt însoțite de exemple. Raspunsul controlat al unui sistem termic de ordinul 1. In primul rand, ecuatiile nu sunt cu derivate partiale, toate derivatele sunt totale si sunt de fapt d/dt.

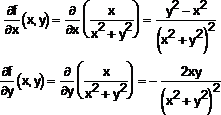
Diferent¸iale tema calculat¸i derivatele part¸iale de ordinul ¸si pentru funct¸iile de mai jos.

1 sisteme de ecuatii diferentiale ordinare de ordinul ntai 11.1 sisteme de ecuatii diferentiale ordinare de ordinul ntai neliniare sub forma normala. Sa se calculeze derivata partiala de ordin 1 si 2. Conceptele de derivată de ordin superior n, cu n număr natural și mai mare sau egal cu 2 și de derivată de ordinul al doilea sunt însoțite de exemple.

Posting Komentar untuk "Derivate Partiale De Ordin 1"